在线咨询 切换到宽版
eetop公众号 创芯大讲堂 创芯人才网

 找回密码
 注册

手机号码,快捷登录

手机号码,快捷登录

搜全文
查看: 1941|回复: 0

[求助] 请教一个比较器的问题

[复制链接]
发表于 2014-4-28 21:26:47 | 显示全部楼层 |阅读模式

马上注册,结交更多好友,享用更多功能,让你轻松玩转社区。

您需要 登录 才可以下载或查看,没有账号?注册

×
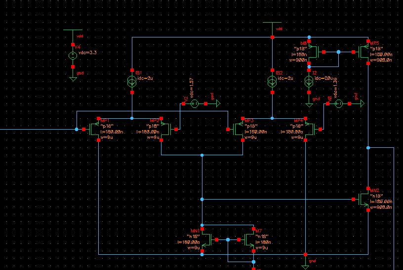
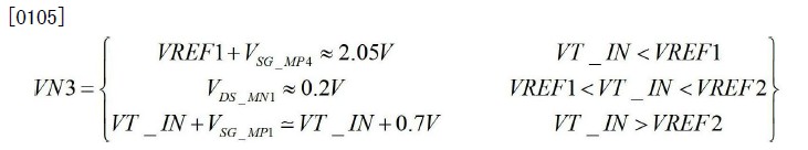
com 1.jpg 一个窗口比较器,目前仿真出来输出一直是低电平,目测放大器没有工作,按所示电路图设计,VN3节点(即所示仿真图的输出)电压应该满足如下,但是在输入进入窗口电压范围时,节点电压还是升高,所以比较器输出一直是低电平。 QQ图片20140428212231.jpg QQ图片20140428212225.jpg QQ图片20140428212215.jpg 求大神指教,感激不尽!
您需要登录后才可以回帖 登录 | 注册

本版积分规则

关闭

站长推荐 上一条 /2 下一条

X 关闭广告

手机版| 小黑屋| 关于我们| 联系我们| 隐私声明| EETOP 创芯网
( 京ICP备:10050787号 京公网安备:11010502037710 ) |网站地图

GMT+8, 2025-10-29 18:18 , Processed in 0.020147 second(s), 8 queries , Gzip On, Redis On.

eetop公众号 创芯大讲堂 创芯人才网
快速回复 返回顶部 返回列表