在线咨询 切换到宽版
eetop公众号 创芯大讲堂 创芯人才网

 找回密码
 注册

手机号码,快捷登录

手机号码,快捷登录

搜全文
查看: 8508|回复: 10

[求助] 请教这个开关电容积分器如何分析

[复制链接]
发表于 2012-8-1 00:28:34 | 显示全部楼层 |阅读模式

马上注册,结交更多好友,享用更多功能,让你轻松玩转社区。

您需要 登录 才可以下载或查看,没有账号?注册

×
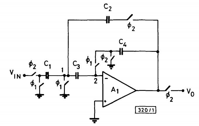
各位,小弟开始设计SC filter,这里有一个基础的SC integrator,出处是'Reduction of finite-gain effect in switched-capacitor filters'-1985.具体积分器如下图
Snap1.jpg

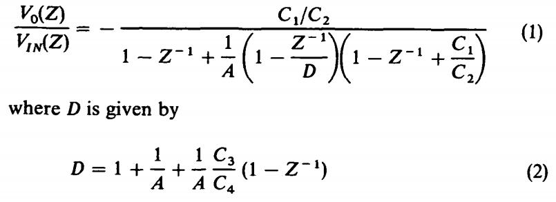
作者给出的传递函数是
Snap2.jpg

利用电荷守恒,尝试分析之后还是得不到他的结果,希望有相关经验或有兴趣的朋友尝试分析看。论文见附件。 04250650.pdf (291.25 KB , 下载次数: 266 )
 楼主| 发表于 2012-8-1 00:38:27 | 显示全部楼层
自己顶一下
回复 支持 反对

使用道具 举报

发表于 2012-8-1 11:21:22 | 显示全部楼层
好东西 顶
回复 支持 反对

使用道具 举报

发表于 2012-8-2 20:57:43 | 显示全部楼层
好东西 顶!
回复 支持 反对

使用道具 举报

发表于 2012-8-28 22:03:24 | 显示全部楼层
分享!
回复 支持 反对

使用道具 举报

发表于 2019-7-13 12:32:13 | 显示全部楼层
先学习一下,谢谢
回复 支持 反对

使用道具 举报

发表于 2019-7-14 10:41:10 | 显示全部楼层
好东西 学习一下
回复 支持 反对

使用道具 举报

发表于 2019-8-12 18:57:54 | 显示全部楼层
学习一下,下来看看~~
回复 支持 反对

使用道具 举报

发表于 2021-4-24 12:57:50 | 显示全部楼层
学习一下
回复 支持 反对

使用道具 举报

发表于 2021-8-30 15:54:44 | 显示全部楼层
good!
回复 支持 反对

使用道具 举报

您需要登录后才可以回帖 登录 | 注册

本版积分规则

关闭

站长推荐 上一条 /1 下一条

手机版| 小黑屋| 关于我们| 联系我们| 隐私声明| EETOP 创芯网
( 京ICP备:10050787号 京公网安备:11010502037710 )

GMT+8, 2025-10-3 20:00 , Processed in 0.461875 second(s), 7 queries , Gzip On, Redis On.

eetop公众号 创芯大讲堂 创芯人才网
快速回复 返回顶部 返回列表