在线咨询 切换到宽版
eetop公众号 创芯大讲堂 创芯人才网

 找回密码
 注册

手机号码,快捷登录

手机号码,快捷登录

搜全文
查看: 783|回复: 2

[求助] 拉扎维课后习题求助

[复制链接]
发表于 2025-9-30 14:53:32 | 显示全部楼层 |阅读模式
悬赏200资产已解决

                               
登录/注册后可看大图
这题具体该怎么做啊,求教教
fadfd09f89236e84a6e762246b82c473.png

最佳答案

发表于 2025-9-30 14:53:33 | 显示全部楼层
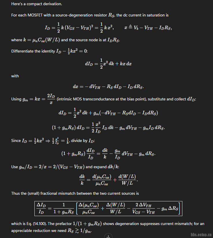
The proof

proof

proof
回复

使用道具 举报

 楼主| 发表于 2025-9-30 18:39:52 | 显示全部楼层


好东西啊,请问下出处呢?或者有没有完整版的可以分享啊,感激不尽
回复

使用道具 举报

您需要登录后才可以回帖 登录 | 注册

本版积分规则

关闭

站长推荐 上一条 /1 下一条

X 关闭广告

手机版| 小黑屋| 关于我们| 联系我们| 隐私声明| EETOP 创芯网
( 京ICP备:10050787号 京公网安备:11010502037710 )

GMT+8, 2025-10-10 03:43 , Processed in 0.032035 second(s), 6 queries , Gzip On, Redis On.

eetop公众号 创芯大讲堂 创芯人才网
快速回复 返回顶部 返回列表