在线咨询 切换到宽版
eetop公众号 创芯大讲堂 创芯人才网

 找回密码
 注册

手机号码,快捷登录

手机号码,快捷登录

搜全文
查看: 43|回复: 4

[求助] 折叠cascode两级运放设计求助

[复制链接]
发表于 4 小时前 | 显示全部楼层 |阅读模式

马上注册,结交更多好友,享用更多功能,让你轻松玩转社区。

您需要 登录 才可以下载或查看,没有账号?注册

×
求大佬帮忙看看,这是我的spec
spec.png
我想用两级运放实现,第一级用折叠cascode,我自己初步计算是学习的gmoverid的设计方法做的,电流分配是这样,虽然图里第二级是nmos输入,但我做的时候用的pmos输入:
电流分配.jpg
想的是先仿真看看增益和GBW还有相位裕度是否达标,我搭的testbench:
testbench.png

这是我目前仿出来的静态工作点
电路.png
幅频曲线:
幅频.png
可以看到增益达到了要求,但是相位裕度特别差,相位在30MHz左右下降特别厉害,应该是由于次主极点没有推到2GBW导致的,而且那一段零极点应该也不止一个,但是我不知道该怎么实现推远次主极点,还请各位指点一二。

 楼主| 发表于 4 小时前 | 显示全部楼层
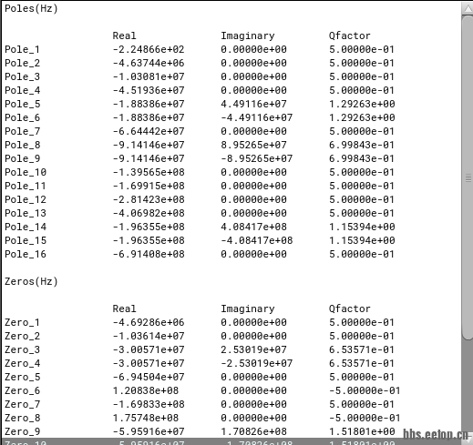
再补充一下我做的PZ分析.....
PZ.png
回复 支持 反对

使用道具 举报

 楼主| 发表于 4 小时前 | 显示全部楼层
不知道下面该怎么优化了,求前辈指导
回复 支持 反对

使用道具 举报

发表于 3 小时前 | 显示全部楼层
米勒电容加大一点
回复 支持 反对

使用道具 举报

 楼主| 发表于 2 小时前 | 显示全部楼层


   
米先生 发表于 2025-12-12 20:32
米勒电容加大一点


谢谢回复,加大补偿电容还是不能达到要求T_T
回复 支持 反对

使用道具 举报

您需要登录后才可以回帖 登录 | 注册

本版积分规则

关闭

站长推荐 上一条 /1 下一条

手机版| 小黑屋| 关于我们| 联系我们| 用户协议&隐私声明| 版权投诉通道| EETOP 创芯网
( 京ICP备:10050787号 京公网安备:11010502037710 ) |网站地图

GMT+8, 2025-12-12 23:59 , Processed in 0.018174 second(s), 4 queries , Gzip On, Redis On.

eetop公众号 创芯大讲堂 创芯人才网
快速回复 返回顶部 返回列表