在线咨询 切换到宽版
eetop公众号 创芯大讲堂 创芯人才网

 找回密码
 注册

手机号码,快捷登录

手机号码,快捷登录

搜全文
查看: 4523|回复: 2

[求助] 关于反相器链最小延时的问题

[复制链接]
发表于 2020-11-17 14:53:49 | 显示全部楼层 |阅读模式

马上注册,结交更多好友,享用更多功能,让你轻松玩转社区。

您需要 登录 才可以下载或查看,没有账号?注册

×
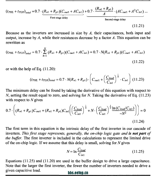
假如已知最后负载电容的最前面电容比例大小为n,我记得理论上按照2.718的倍数逐级增大inv的尺寸的话,delay最小,请问一下怎么推导,谢谢!
发表于 2020-11-17 19:52:16 | 显示全部楼层
Baker-CMOS design, layout and simulation
反相器那一章有讲。
捕获.PNG
回复 支持 1 反对 0

使用道具 举报

 楼主| 发表于 2020-11-18 16:08:45 | 显示全部楼层


   
acging 发表于 2020-11-17 19:52
Baker-CMOS design, layout and simulation
反相器那一章有讲。


谢谢!
回复 支持 反对

使用道具 举报

您需要登录后才可以回帖 登录 | 注册

本版积分规则

关闭

站长推荐 上一条 /1 下一条

手机版| 小黑屋| 关于我们| 联系我们| 隐私声明| EETOP 创芯网
( 京ICP备:10050787号 京公网安备:11010502037710 )

GMT+8, 2025-10-2 02:50 , Processed in 0.012619 second(s), 4 queries , Gzip On, Redis On.

eetop公众号 创芯大讲堂 创芯人才网
快速回复 返回顶部 返回列表