热度 3| ||
在许多RF-dc的论文中,都未给出RF power combiner的电路结构,是因为该结构为具有通用性的Wilkinson power combiner(威尔金森功率合成器)。
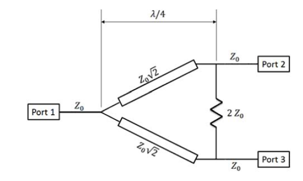
Wilkinson power combiner的电路图如下图所示,是一个典型的三端口网络。其中,Port2和Port3为输入,Port1为输出。Port2和Port3之间使用一个阻抗为2Z0的电阻相连。Port2、Port3与Port1的传输线,阻抗为√2 Z0,长度为1/4λ(1/4波长)。


用S参数表征为:

对于任何一个三端口网络而言,无法同时做到互易、无损和匹配。Wilkinson功合器属于:端口匹配,有互易性,有损耗。
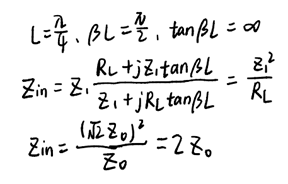
将威尔金森功率合成器,分别在奇模和偶模的状态下分析。

Port1相连的阻抗变为两个2Z0并联,Port2和Port3之间的电阻分为两个阻抗为Z0的串联。

在偶模状态下,没有电流流过电阻,开路。原电路相当于四分之一波长阻抗变换器。
端口2看进去的阻抗为:

与负载RL相等,因此,能实现阻抗匹配。

奇模时,中线电压为零,中心平面的两个点接地。端口1短路。端口2全部功率传送到电阻上(传输线侧开路)。
对于Wilkinson power combiner,可以这么理解:端口2处的输入信号分两路,一路到达输出端口,一路通过电阻R到达端口3。到达端口1的信号沿着传输线到达端口3时,由于总共过了1/2波长,相位差了180°,因此相互抵消。
在偶模状态下,计算S参数。


ADS仿真电路图:

仿真结果:

S12,S13为正向传输系数,也就是增益。S11为输出反射系数,也就是输出回波损耗。当输出回波损耗最低时,Wilkinson power combiner达到最佳性能。
例如,在论文
A. Sedeek, E. Tammam, and E.-S. Hasaneen, “Design of an efficient 2.45 GHz RF rectifier for energy harvesting from low RF power density environment,” in 2020 International Conference on Innovative Trends in Communication and Computer Engineering (ITCE), Aswan, Egypt: IEEE, Feb. 2020, pp. 268–271. doi: 10.1109/ITCE48509.2020.9047817.
中,四个RF信号使用三个威尔金森功率合成器聚合,在输入射频功率的所有值下,效率为98.269%。


功率组合网络的效率在不同输入RF功率下被计算为输出RF功率与四个输入RF功率之和的比率。
该功率合成网络工作在高效率状态,其效率下降除了由合成器阵列两级之间的界面处的反射损耗引起外,还由介质基板中的损耗引起。
/2