hyyyhh的个人空间 https://blog.eetop.cn/?1782980 [收藏] [复制] [分享] [RSS]

日志

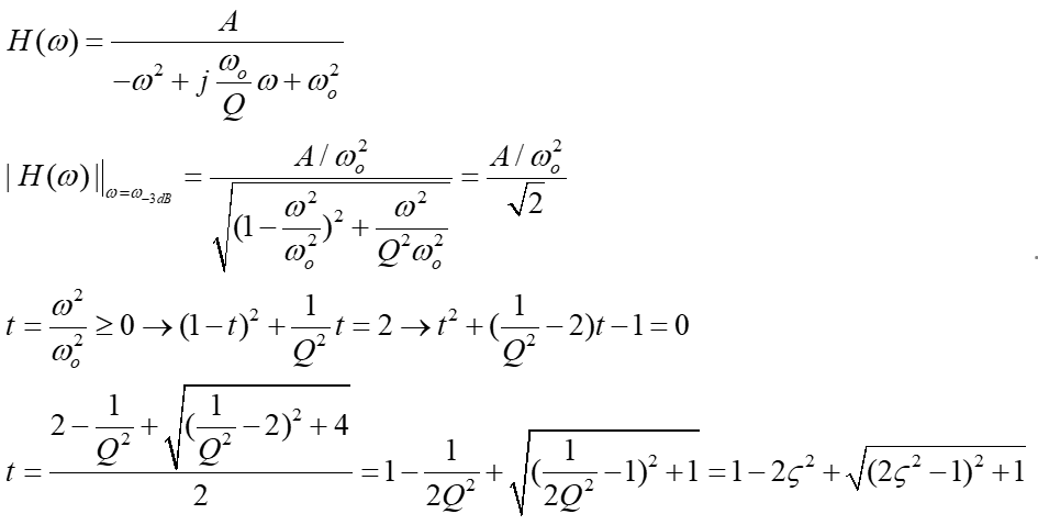
二阶系统的3dB带宽(从存在共轭极点的考虑)

热度 1已有 969 次阅读| 2022-11-15 23:05 |个人分类:电路分析|系统分类:其他

image.png

1

点赞

刚表态过的朋友 (1 人)

评论 (0 个评论)

facelist

您需要登录后才可以评论 登录 | 注册

  • 0

    周排名
  • 0

    月排名
  • 0

    总排名
  • 11

    关注
  • 0

    粉丝
  • 8

    好友
  • 1

    获赞
  • 0

    评论
  • 37

    访问数
关闭

站长推荐 上一条 /2 下一条


手机版| 小黑屋| 关于我们| 联系我们| 隐私声明| EETOP 创芯网
( 京ICP备:10050787号 京公网安备:11010502037710 ) |网站地图

GMT+8, 2025-11-7 12:32 , Processed in 0.024672 second(s), 16 queries , Gzip On, Redis On.

eetop公众号 创芯大讲堂 创芯人才网
返回顶部