CCT111的个人空间 https://blog.eetop.cn/?1775769 [收藏] [复制] [分享] [RSS]

日志

模拟学习笔记——零极点分析(1、对传输函数的影响)

热度 77已有 9225 次阅读| 2023-10-10 20:14 |系统分类:芯片设计

1、线性时不变系统的传递函数:

                             image.png

因式分解可得:

         image.png 

2、系统的零极点的物理含义

 零点:当系统输入幅度不为零且输入频率使系统输出为零时,此输入频率值即为零点;

 极点:当系统输入幅度不为零且输入频率使系统输出为无穷大时,此频率值即为极点。

             则z1,z2…zm为传递函数的零点;

   p1,p2…pn为传递函数的极点。

     3、 零极点对传递函数幅值和相位的影响(此篇暂时只分析了实数零极点):

                image.png

         20logH(jw)=20log(H0)+20log(jw-z1)+20log(jw-z1)…+20log(jw-zm)-20log(jw-p1)-20log(jw-p2)-…-20log(jw-pn)

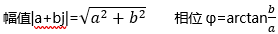
           虚数的幅值和相位定义:

image.png

        则对于极点Px:

               将Px化为常系数:jw-Px= Px(j*w/Px-1

           只考虑虚数部分 -20log|H(jw)|= -20lg| j*w/Px-1|=-20lg√1+w^2/Px^2

image.png

        image.png

Ø   W远小于Px时,w/Px→0    φ(jw)→0

Ø   W等于Px时,w/Px=1    φ(jw)=45°

Ø   W远大于Px时,w/Px→1  φ(jw)=90°   (一般认为>10倍极点频率相位变化90°)

Ø   Px为正时(右半平面极点),相位为正;Px为负(左半平面极点)时,相位为负。

 

所以对于左半平面极点:增益以-20dB/十倍频率下降;

                                     相位减少90°(>10倍极点频率)

对于右半平面极点:增益以-20dB/十倍频率下降;

                                     相位增加90°(>10倍极点频率)

对于零点Zx:

    image.png

  所以对于左半平面零点:增益以+20dB/十倍频率上升;

                                          相位增加90°(>10倍极点频率)

对于右半平面零点:增益以+20dB/十倍频率下降;

                                                相位减少加90°(>10倍极点频率)


本人还是一名模拟菜鸟,仅作个人记录整理学习内容,以及和各位同仁沟通交流,如有错误请各位指出。

64

点赞

刚表态过的朋友 (64 人)

发表评论 评论 (8 个评论)

回复 qgbfhl 2024-1-25 14:57
CCT111: lgA*B=lgA+lgB。
A是实数,则lgA是个定值,w不影响lgA,只影响虚数lgB
明白了谢谢!
回复 CCT111 2024-1-19 19:18
qgbfhl: 为什么只用考虑虚数部分
lgA*B=lgA+lgB。
A是实数,则lgA是个定值,w不影响lgA,只影响虚数lgB
回复 qgbfhl 2024-1-16 10:46
为什么只用考虑虚数部分
回复 CCT111 2023-11-27 10:01
chenximing: 最后几个公式,是10倍零点吧
  写错成极点了
回复 chenximing 2023-11-26 16:27
最后几个公式,是10倍零点吧
回复 new学者 2023-11-6 09:20
这些公式你们都还记得吗。。。。我都忘记了。。。
回复 CCT111 2023-10-13 15:02
阅读知天下: 左右平面的零点,都是增益上升
这里打错了,前面写着“+”,后面写出下降了
回复 阅读知天下 2023-10-12 20:27
左右平面的零点,都是增益上升

facelist

您需要登录后才可以评论 登录 | 注册

  • 0

    周排名
  • 0

    月排名
  • 10

    总排名
  • 1

    关注
  • 58

    粉丝
  • 9

    好友
  • 228

    获赞
  • 35

    评论
  • 338

    访问数
关闭

站长推荐 上一条 /1 下一条


手机版| 小黑屋| 关于我们| 联系我们| 隐私声明| EETOP 创芯网
( 京ICP备:10050787号 京公网安备:11010502037710 )

GMT+8, 2025-10-5 03:05 , Processed in 0.025432 second(s), 8 queries , Gzip On, Redis On.

eetop公众号 创芯大讲堂 创芯人才网
返回顶部